JAK inhibitors and novel agents have shown promising reduction of spleen size in newly diagnosed myelofibrosis. However, not all patients will respond or they eventually progress at some point. Despite hematopoietic cell transplantation (HCT) being the only curative treatment option to date, splenomegaly prior to HCT remains a particular challenge. On the other hand, numbers of patients eligible for HCT continue to increase worldwide, and thus management of splenomegaly becomes more and more relevant. One approach to reduce spleen size prior to HCT could be splenic irradiation. However, evidence on its role remains scarce.
We took advantage of a global collaboration between European, US, and Latin American centers to investigate the role of splenic irradiation as part of the HCT platform for patients with myelofibrosis. Radiation therapy had to be given within 3 months prior to or be part of conditioning therapy for HSCT. Detailed information on irradiation as well as post-HCT safety profiles was collected in addition to usual patient-, disease-, and transplant-related variables.
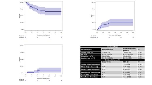
This global collaborative study included 52 patients, of whom 71% had primary myelofibrosis, 17% post polycythemia vera and 12% post essential thrombocythemia myelofibrosis. Median age at HCT was 60 years (range, 32-76). Risk category according to DIPSS prior to irradiation was intermediate-1 in 20%, intermediate-2 in 52%, and high in 28%. Driver mutation status was JAK2 in 44%, CALR in 40%, MPL in 4%, and triple negative in 12%. Four patients had portal vein thrombosis before irradiation. Ruxolitinib before irradiation was received by 76% and 4% received fedratinib. Reduced intensity conditioning HCT was received by 73% and 85% were matched related or matched unrelated donor transplants.
Median time from irradiation to HCT was 2 weeks (range, 0.9-12 weeks) and median spleen size prior to irradiation was 23 cm (range, 14-35). Spleen size was measured by ultrasound in 70%, CT scan in 20%, and physical examination in 10%. Median total irradiation dose was 7 Gy (range, 3-12), fractionated in a median of 5 administrations (range, 2-12).
Splenic irradiation resulted in a significant spleen reduction prior to HCT but was also associated with significant reduction in platelet and leukocyte counts ( Table). Spleen size did not correlate with blood counts prior or after irradiation. Higher platelet count prior to irradiation correlated with higher counts after irradiation (r=0.83; P<0.001). There was no correlation between irradiation dose and post-irradiation hematological toxicities. Only 1 patient had non-hematological adverse events (tumor lysis syndrome).
Neutrophil engraftment was achieved by 90% within a median of 18 days after HCT and platelet engraftment was achieved by 81% within a median of 38 days. Median follow-up of the total cohort was 2.7 years and 3-year overall survival was 66% (95% CI, 52-80%; Figure). Non-relapse mortality was 27% (95% CI, 15-39%) and cumulative incidence of relapse was 11% (95% CI, 2-20%; Figure). Incidence of acute GVHD grade II-IV and chronic GVHD was 25% and 38%, respectively.
Increased spleen size (as continuous variable) prior to irradiation was associated with worse outcome (P=0.05), showing 3-year survival of 73% for spleen ≤25cm vs 42% for >25cm, and non-relapse mortality of 58% vs 14%, respectively (P=0.02). No effect of spleen size after irradiation on outcomes was observed. All 4 patients with portal vein thrombosis died (2-year survival 25%).
A multivariable model showed that larger spleen size before irradiation, lower hemoglobin levels, CALR/MPL-unmuated driver mutation genotype, and presence of portal vein thrombosis were significantly associated with worse survival ( Table).
This first international and largest study to date on splenic irradiation as part of the HCT algorithm for patients with myelofibrosis and splenomegaly showed a significant impact of spleen size on overall survival and non-relapse mortality, while relapse rates were low. In addition, lower hemoglobin levels and presence of portal vein thrombosis at time of irradiation predicted worse outcomes.
Disclosures
Hobbs:Abbvie: Membership on an entity's Board of Directors or advisory committees; BMS: Membership on an entity's Board of Directors or advisory committees; Incyte: Research Funding; Keros: Membership on an entity's Board of Directors or advisory committees; Pharmaxis: Membership on an entity's Board of Directors or advisory committees; Pfizer: Membership on an entity's Board of Directors or advisory committees; Morphosys: Membership on an entity's Board of Directors or advisory committees, Research Funding; Novartis: Membership on an entity's Board of Directors or advisory committees; Protagonist: Membership on an entity's Board of Directors or advisory committees; Regeneron: Current holder of stock options in a privately-held company. Kroeger:Novartis, Neovii: Honoraria, Research Funding; Celgene/BMS: Honoraria, Research Funding; AOP Orphan Pharmaceutical, JAZZ, Takeda, Astellas: Honoraria; Riemser: Research Funding.

This feature is available to Subscribers Only
Sign In or Create an Account Close Modal